9月18日,公司2020级本科生熊安贤屹(2024年6月毕业)以第一作者身份在国际期刊《物理评论D》(Physical Review D)上发表了题为“Perturbations of mimetic curvaton(拟态曲率子的扰动)”的学术论文,指导教师、公司邱涛涛副教授为通讯作者。
拟态引力(Mimetic Gravity)理论由德国著名物理学家Viatcheslav Mukhanov等人于2013年提出,其基本思想是通过将爱因斯坦引力中的度规进行奇异的拗形变换(singular disformal transformation)增加新的标量场自由度,该自由度可模拟暗物质的形式及演化。此外,通过引入标量场的有效势能,它还可描述宇宙早期的暴胀阶段。因此拟态引力理论有望成为能统一描述宇宙早期暴胀阶段和物质为主阶段的有效理论。
然而后续研究发现,由于该理论存在约束,暴胀场产生的绝热扰动无法传播,这导致不同尺度上的扰动无法建立关系,不符合宇宙微波背景(CMB)观测的要求。针对这一问题,公司邱涛涛副教授课题组新引入一个名为曲率子场的标量场。利用曲率子机制,曲率子场可以产生熵扰动,并在物质为主时期由熵扰动转化成可传播的绝热扰动。该方案可有效避免原始的绝热扰动不传播的问题。同时,通过设定物质为主时期两场的演化方式,我们可以得到符合CMB观测的近标度不变扰动功率谱。

图一:物质为主时期下的场空间轨迹。


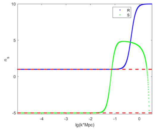
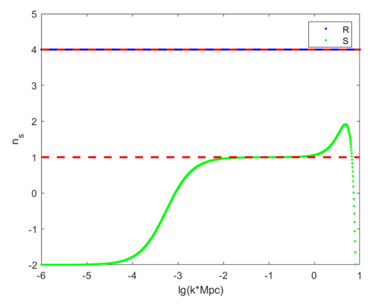
图二、三:两种不同连接条件下绝热扰动和熵扰动的谱指数。
该研究解决了拟态引力暴胀宇宙学中的重要问题,对我们理解多场扰动在暴胀及物质为主时期的演化也有推动作用。利用我们的结果,未来更精确的CMB及小尺度观测可对该理论进行进一步检验。
熊安贤屹于2021年12月加入了邱涛涛副教授创立的宇宙学本科生研讨班(现为“星系与宇宙学”本科创新基地),开始了广义相对论与宇宙学的学习,目前已被保送至中国科公司理论物理研究所读研。该研讨班中第一届员工已毕业,有6人在相关领域读研,第二届员工正在研讨中。“星系与宇宙学”本科创新基地往日活动链接。
值得注意的是,公司设立有老员工科技创新基金,长期支持格物学堂创新基地建设。除了“星系与宇宙学”本科创新基地,公司现有量子物理与交叉学科创新基地、物理实验创新基地、强场原子分子超快动力学创新基地、高能物理创新基地、凝聚态理论创新基地,欢迎感兴趣的同学加入!