近日,公司2021级本科生邱卓伦在“量子磁性与自旋物理”课题组于涛教授的指导下,以第一作者的身份在期刊《Physical Review B》上发表了以“Persistent nodal magnon-photon polariton in ferromagnetic hetero-structures”为题的研究论文。课题组研究生周熙涵为论文的共同第一作者,于涛教授为论文的通讯作者,瑞士苏黎世联邦理工公司王涵晨博士和北京航空航天大学杨光副教授在本项研究中做出了重要贡献。304永利集团为论文的第一单位。
随着自旋电子学和量子技术的迅速发展,磁性异质结在新型量子器件的设计中变得越来越重要。铁磁材料(FM)和正常金属(NM)组成的异质结构,因其独特的磁性和电学特性,成为研究的热点。这些异质结构中的集体激发模式,例如磁子-光子极化激元(magnon-photon polariton),在自旋信息传输和逻辑操作中扮演着重要角色。在这项研究中,课题组深入探讨了金属(超导)|铁磁|金属(超导)异质结结构[图一(a)]中的集体激发模式,重点关注了磁子(magnon)与光子(photon)之间耗散耦合特性。

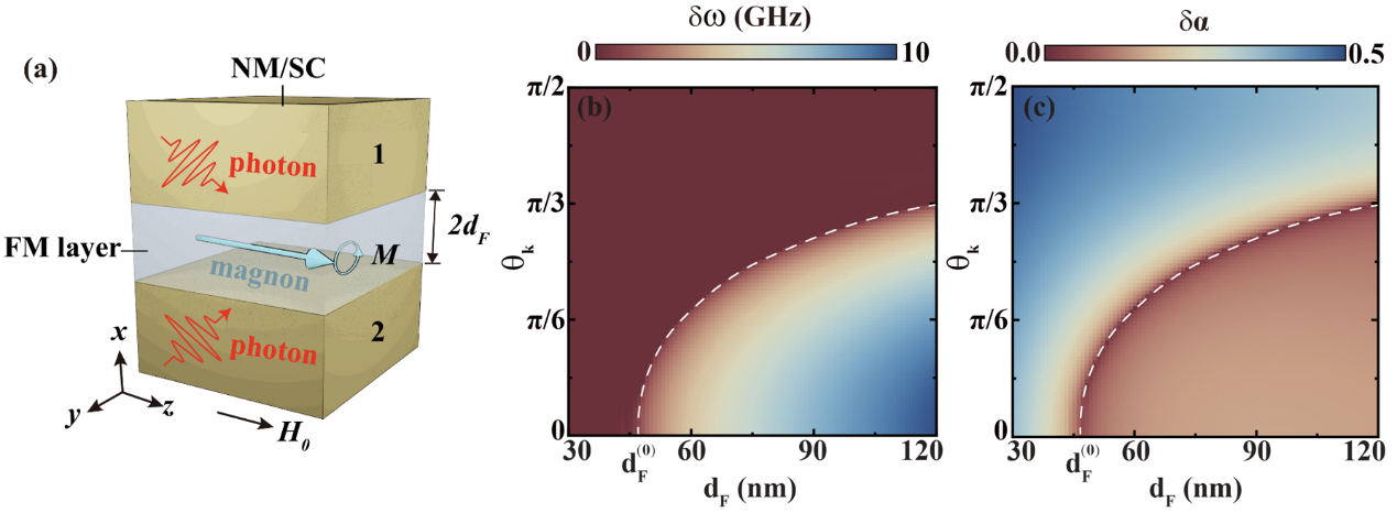
图一:(a)展示了金属(超导)|铁磁|金属(超导)异质结构的示意图;(b)(c)中的白色虚线为奇异点的分布曲线,它展示了在波矢空间中节点磁光极化激元连续存在的特性。
在金属|铁磁|金属异质结研究中,研究团队将异质结中电场和磁场的贡献类比为LC电路中电压和电流,并利用Maxwell方程组以及LC电路的电流电压方程得到了等效复电容和电感,最后类比量子化LC电路建立了一种非厄密量子化的方法。在该方法中,我们考虑了由欧姆电流带来的热耗散效应,因此通过该方法得到了光子磁场的量子化表达式也是非厄密的。 光子通过塞曼相互作用与磁子耦合,得到了系统的哈密顿量。在这个哈密顿量中,我们清晰地展示磁子和光子之间是以一种耗散耦合的形式(即耦合强度)耦合起来。由于系统中引入了由欧姆电流带来的热耗散相应,系统的哈密顿量也不再是厄密的。于是通过求解系统色散关系,课题组在这一异质结中发现了节点磁光极化激元的存在(如图一(b)和(c)所示),并且发现当铁磁层的厚度高于临界值时,这一重要特征在波矢空间中能够持续存在。
在超导|铁磁|超导异质结结构中,课题组类比金属铁磁异质结的方法用经典和量子的方法建立了一套非微扰理论。与金属相比,超导中的电流没有耗散效应,因此系统的哈密顿量是厄密的。课题组发现当铁磁层的厚度与超导趋肤深度相当时,磁子和光子之间的耦合强度可与磁子激发频率相当(如图二(a)所示),展现出超强耦合特性。同时,由于磁子产生的偶极场的手性,当电磁波的传播方向垂直于饱和磁矩时,光子和磁子将不再耦合,展现出耦合的各向异性(如图二(b)所示)。

图二:(a)(b)展示了超导|铁磁|超导异质结结构中在不同传播方向下磁子-光子极化激元色散关系。
邱卓伦同学于2023年5月加入于涛教授“量子磁性与自旋”课题组,开始了磁性以及超导相关理论的系统学习。在这一年半时间的科研实习中,于涛教授和组里研究生为邱卓伦同学提供了众多科研、学习以及生活方面的帮助,不辞辛苦地为其答疑解惑,给予鼓励和指导,并支持邱卓伦同学参加相关国内外学术会议。最终邱卓伦同学以第一作者的身份在Physical Review B发表自己的科研成果。
于涛教授课题组长期欢迎本科生前往开展科研训练,更多信息可访问课题组主页:http://www.yutaolab.com/