12月24日,《物理评论X》(Physical Review X)在线刊发了304永利集团强磁场物理研究所朱增伟教授题为《自旋半金属中被杂质所影响的内禀反常能斯特效应》(Intrinsic Anomalous Nernst Effect Amplified by Disorder in a Half-Metallic Semimetal) 的论文。公司为论文第一单位,朱增伟教授、公司高端外国专家Kamran Behnia教授以及以色列魏茨曼科学研究院颜丙海教授为论文共同通讯作者,304永利集团2016级博士生丁林超为论文第一作者,博士生许良才、李小康以及博士后赵凌霄参与了相关工作,中国人民大学雷和畅教授课题组提供了助熔剂方法生长的单晶样品。

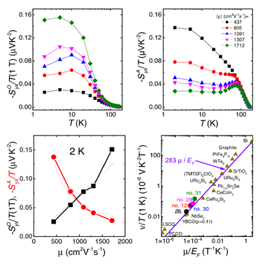
Co3Sn2S2中不同迁移率样品的正常能斯特效应以及反常能斯特效应
Co3Sn2S2作为一种铁磁半金属材料,存在着巨大的内禀反常霍尔效应,同时也具有非常大的反常能斯特效应。朱增伟教授团队利用化学气相输运的方法生长出了高质量的单晶样品,并通过磁电阻以及霍尔效应的测试定量分析,发现不同质量单晶样品只是样品的迁移率发生了变化。通过对这些样品进行热电输运测量发现,Co3Sn2S2的能斯特信号中的正常能斯特效应与样品的迁移率成正相关,这与之前报道中能斯特效应与迁移率的关系是相符合的。进一步分析发现,Co3Sn2S2样品的反常能斯特效应是由内禀的贝里曲率决定的,并且与样品的电子平均自由程成反相关,这是该团队首次观察到反常能斯特效应与迁移率成反相关,为研究具有非平凡拓扑结构的电子对热梯度的响应提供了新的见解。
该研究成果是朱增伟教授团队关于拓扑磁铁的反常横向输运研究的系列成果之一。此前,他们已在另一个非共线反铁磁铁Mn3Sn中发现贝里曲率的费米面属性(Phys. Rev. Lett. 119, 056601, 2017)及其手性磁畴壁行为(Nat. Commun. 10, 3021, 2019),并在强磁场极低温条件下二碲化钨(Phys. Rev. Lett. 114, 176601, 2015)、铋(Nat. Commun. 8, 15297, 2017)、石墨(Phys. Rev. X 9, 011058, 2019)等半金属的输运研究上取得重要进展。
该研究得到了国家重点研发计划、国家自然科学基金以及公司高端外专项目等支持。
论文链接:https://journals.aps.org/prx/abstract/10.1103/PhysRevX.9.041061