3月9日,物理学权威期刊《物理评论快报》(Physical Review Letters)在线刊发了304永利集团304永利集团16级博士生李小康(导师为朱增伟教授)作为第一作者的关于非磁绝缘体的声子热霍尔效应的研究论文“Phonon thermal Hall effect in strontium titanate”。该成果由强磁场物理研究所朱增伟教授团队与法兰西公公司(Collège de France)Benoît Fauqué研究员、巴黎高等物理化工公司Kamran Behnia教授合作完成。

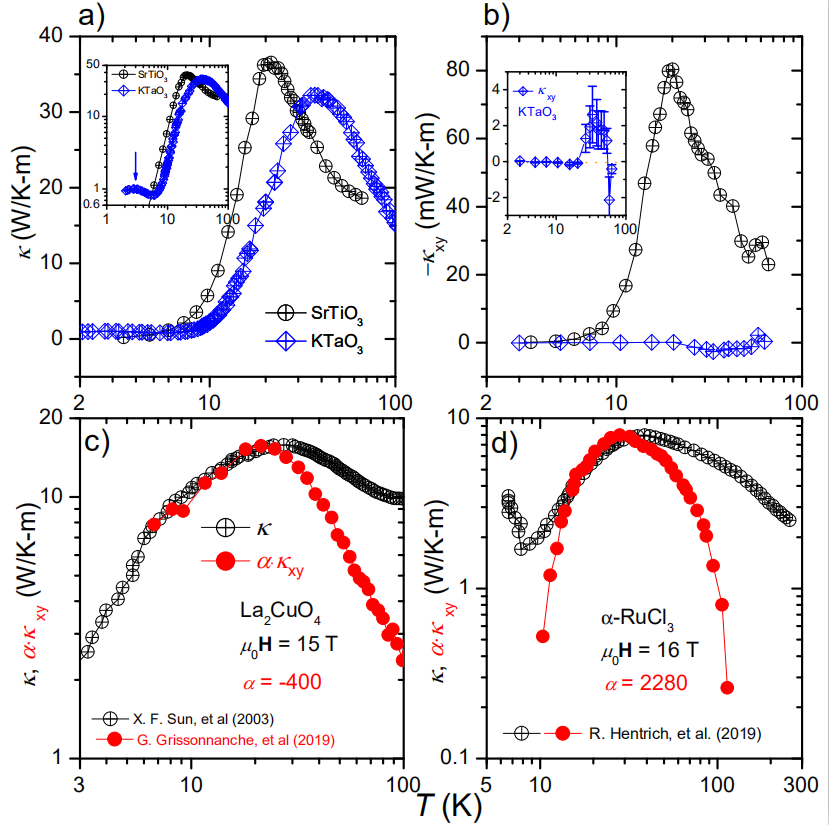
图1 SrTiO3的热霍尔效应。测量示意图(a),纵向和横向温差对比(b),
纵向和霍尔热导对比(c)。
声子是指“晶格振动的简正能量模量子”,具有动量,但没有质量、电荷和磁矩,因此可将其抽象理解为一种非磁的电中性准粒子。霍尔效应是指电性载流子(如电子)在磁场作用下受洛伦兹力发生偏转,在横向方向上有电压积累的现象。由于电子既能传导电荷也能携载热量,因此当有纵向温度梯度存在时,受洛伦兹力发生偏转的电子也能在横向上产生温差积累,此即为热霍尔效应或者里纪-勒杜克效应,如图1中的a图所示。虽然声子没有电荷和磁矩,无法与电场和磁场直接发生相互作用,但由于声子也能携载和传导热量,因此热输运(如热导和比热)是研究声子行为的重要手段。声子无法因洛伦兹力而发生横向偏转,但是否能受到磁场的间接作用或者因散射而发生横向偏转目前仍存在争议,因此研究声子热霍尔效应是解决这一争论的关键。
由于电荷和磁振子也能贡献热霍尔效应,因此为了研究纯的声子热霍尔行为,最理想的候选材料是非磁绝缘体材料,如本文中所使用SrTiO3,这是一种抗磁绝缘体,也是一种理想的介电材料。本文研究中,作者观测到了比任何绝缘体都要大的霍尔热导,其值约为-80 mW/K-m(12T时),如图1中的b和c图所示;是最近报道在《自然》杂志上的铜基氧化物的约两倍(Nature 376, 571, 2019),如图2中的c图所示。
为进一步明确本项研究工作中声子热霍尔效应的起源机制,即声子是如何发生横向偏转的,作者选取SrTiO3和其类似物KTaO3开展了对比实验:一方面,两者均为抗磁介电材料,其纵向热导也大致一致,如图2中的a图所示;另一方面,两者也存在一个明显差异,在95K时,SrTiO3会发生反铁电扭曲(AFD)转变,转变后的SrTiO3中会出现三个不同朝向的畴,畴与畴之间会存在畴壁,但这一转变却不会出现在KTaO3中。两者的热霍尔电导对比结果如图2中的b所示,SrTiO3中有非常大的热霍尔效应,而KTaO3中的霍尔热导几乎为零,由此表明发生AFD转变后的畴壁可能是散射声子发生横向偏转的原因,文中通过热循环对比实验证明了这一观点。

图2 绝缘体中的热导和热霍尔效应。SrTiO3和KTaO3的热导对比(a),SrTiO3和KTaO3的霍尔热导对比(b),La2CuO4的热导和霍尔热导对比(c),α-RuCl3的热导和霍尔热导对比(d)。
李小康2016年保送公司304永利集团直接攻读博士学位,导师为朱增伟教授。他在研究生期间学习认真刻苦,积极参与科研,截止目前,获国家奖学金1次,以第一作者(唯一)发表高水平论文4篇,其中《物理评论快报》2篇(2017, 2020)、《自然·通讯》(Nature Communications)1篇(2019)。
该研究工作得到了国家自然科学基金、国家重点研发计划和国家留学基金委联合培养博士项目等支持。
论文链接:https://journals.aps.org/prl/abstract/10.1103/PhysRevLett.124.105901