11月16日,《美国科公司院刊》(Proceedings of the National Academy of Sciences,PNAS)在线刊发了304永利集团强磁场物理研究所朱增伟教授题为“石墨中激子的波色-爱因斯坦凝聚的临界点”(Critical point for Bose-Einstein condensation of excitons in graphite)的论文。该成果由朱增伟教授与巴黎高等物理化工公司Kamran Behnia教授、法兰西工公司Benoît Fauqué研究员合作完成,朱增伟教授为论文通讯作者,304永利集团博士生王金华为论文第一作者,博士生聂盼、博士后李小康以及左华坤工程师参与了相关工作。
二维电子气在强磁场下的量子霍尔效应和分数量子霍尔效应的发现,掀起了研究电子气的热潮,那么三维低载流子系统中含有的电子气是否也存在相类似的奇异物理现象呢?根据理论预测,三维电子气在强磁场下可能会进入(电荷/自旋)密度波态、激子绝缘体态和魏格纳晶体态等物态。其中,激子绝缘体态是由诺贝尔获得者Mott在上世纪60年代提出。而在实验上,要观测由库仑屏蔽效应导致的半金属体系中产生电子-空穴配对形成激子,并伴随着能隙的打开形成玻色-爱因斯坦凝聚进入绝缘体态的现象非常困难,激子绝缘体态是一个尚未解决的关键科学问题。
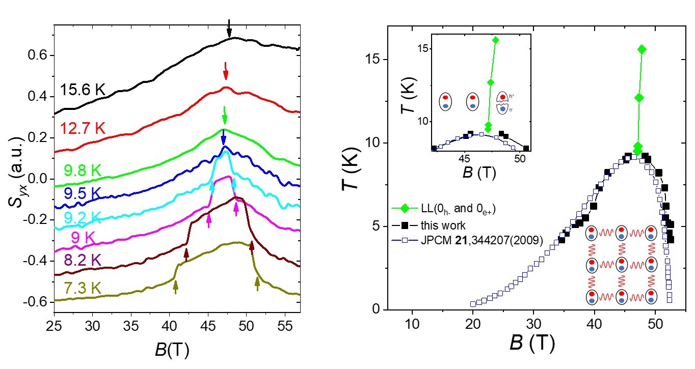
该研究中,朱增伟教授团队利用脉冲强磁场设施的输运实验平台,克服脉冲强磁场下热电测量困难,成功测量到石墨在60T强磁场下对相变敏感的横向热电效应——能斯特效应。通过该效应发现石墨在低温(T=9.2K)和强磁场(B=47T)的临界点会发生波色-爱因斯坦凝聚,从而进入激子绝缘体态。该成果表明石墨是迄今为止第一个利用强磁场实现激子绝缘体态的材料,并可以通过调节磁场实现凝聚强度的调控,为后续研究强关联三维电子气的行为提供了一条切实可行的道路。
石墨是典型的补偿型半金属材料,其载流子浓度在低温下约为3×1018cm-3,约7.5T的磁场就能迫使整个系统进入量子极限,是研究强关联电子系统的理想材料。研究表明,石墨在强磁场下有很多有趣的相变,朱增伟教授团队的前期研究丰富了石墨在低温强磁场下的相图(Phys. Rev. X 9, 011058, 2019)。然而,石墨相图背后的物理机制仍不清楚。

图中为石墨在脉冲磁场场下的能斯特信号(左)和激子绝缘体凝聚的相图(右)
此次,他们通过测量石墨在脉冲强磁场下的能斯特效应,发现在相变温度之上,能斯特信号在磁场约为47T时出现一个拐点,该拐点处的信号幅值的变化符合L-K公式,证明此处的拐点即为朗道能级穿越费米面引起的量子振荡,由此否定了此前提出的量子振荡发生在53T的结论,并否定了可能的密度波态的猜测,为激子绝缘体态的猜想提供了更为直接有力的证据。另外,通过无相互作用的波色-爱因斯坦凝聚的模型计算,激子凝聚临界温度约为8K,与实验数据9.2K相吻合,更加印证了石墨A相(T<9.2K且~20T-53T的相)的本质为激子在低温下发生了波色-爱因斯坦凝的理论。
值得一提的是,该实验是国际上首次利用60T脉冲强磁场测量能斯特效应,彰显了脉冲强磁场设施在输运测量上的国际领先地位。与此同时,近年来,朱增伟教授团队利用脉冲强磁场设施输运实验平台的先进实验技术和手段,深入开展半金属在强磁场以及低温下的输运行为的研究,以公司为第一单位在《物理评论快报》(Physical Review Letters)、《自然·通讯》(Nature Communications)、《物理评论X》(Physical Review X)、《科学进展》(Science Advances)等国际权威期刊发表学术论文十余篇,一系列高水平成果产出也充分体现了脉冲强磁场设施在支撑前沿科学研究中的重要作用。
该研究工作得到了国家自然科学基金、国家重点研发计划等项目支持。
论文连接:https://doi.org/10.1073/pnas.2012811117