近日,基金委“强场超快光学”创新研究群体黎敏教授、周月明教授、陆培祥教授等提出了一种精确测量隧穿时间的新方法,成功实现了原子隧穿电离时间阿秒精度测量。7月7日,相关成果以Full experimental determination of tunneling time with attosecond-scale streaking method为题发表于Light: Science & Applications期刊。
量子隧穿是物理学中最基本的现象之一,它是指微观粒子穿越高于自身能量势垒的一种现象。量子隧穿在许多物理、化学、生物等过程中普遍存在,对量子隧穿过程的深入研究是人们理解和操控微观世界的重要基础。虽然量子隧穿在许多应用中得到了很好地理解与开发,但科学界对于一个基本问题-隧穿时间,即一个微观粒子隧穿过势垒需要多少时间还没有达到共识。
随着超快激光技术的进步,人们可以在阿秒时间尺度探测原子和分子中的超快动力学现象,这为在强场隧穿电离中探究隧穿时间问题提供了机会。研究人员提出了通过阿秒钟方案测量强场电离中的隧穿时间。阿秒钟利用椭圆偏振激光,巧妙地将隧穿时间映射到光电子动量谱的偏转角。但由于在从偏转角提取隧穿时间过程中,研究人员需要通过理论模型来准确计算出库仑势对偏转角的贡献,这使得隧穿电离时间的结论依赖于处理库伦作用的理论模型。所以到目前为止,隧穿时间是否有限这一问题仍然存在争议。

图1双色场测量隧穿时间的新方案
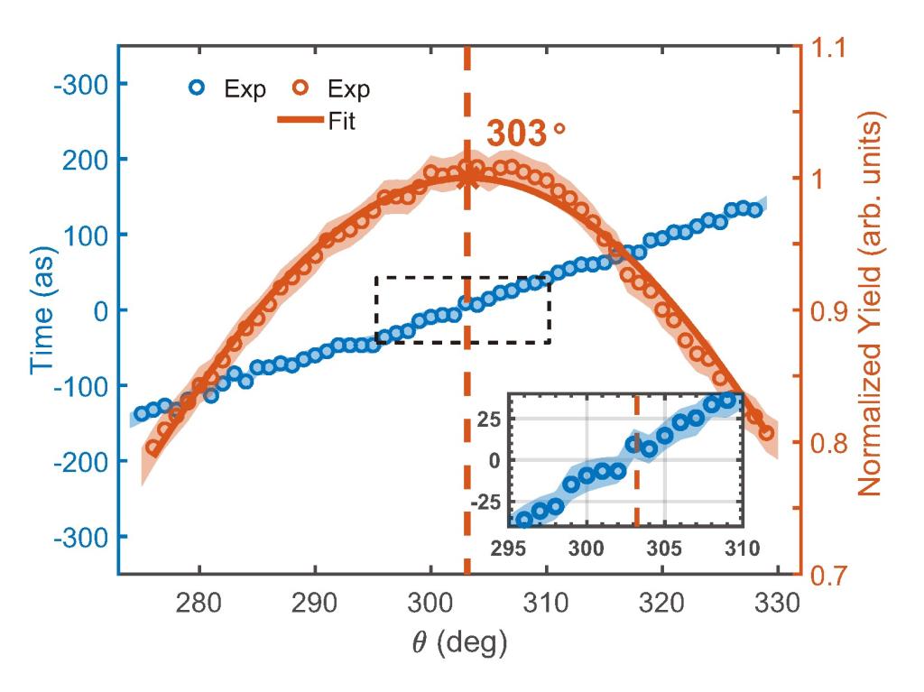
研究团队在一束强椭圆偏振激光场的基础上加入了一束弱的线偏激光场,如图1所示。由于隧穿电离是一个高阶非线性过程,隧穿电离的光电子产率对微扰场非常敏感。通过在阿秒时间精度改变微扰场与椭偏光的时间延迟,可以实现对隧穿电离光电子产率的精确调控。因为不同时刻隧穿电离的光电子对微扰场的响应不同,所以通过监测光电子产率对时间延迟的变化,可以实现隧穿时间的测量。研究团队将该方案应用于氩原子的强场隧穿电离时间研究,实验测量到的电子隧穿时间小于5阿秒,如图2所示。

图2光电子电离时间随电子发射角的变化(蓝色曲线)
光电子产率分布(橙色曲线)
在该方案中,微扰激光场相对于驱动隧穿电离的基频场非常弱,因此不会改变连续态电子的运动轨迹。光电子产率的振荡完全由双色场间的相对相位决定,不受库仑效应的影响。因此,利用光电子产率重构隧穿电离时间不需要计算库仑势的作用,避免了传统阿秒钟方案中对理论模型的依赖,从而实现了强场电离过程中电子隧穿时间的全实验测量。本研究涉及大规模的理论模拟计算,利用公司超算资源大幅加快了计算工作的进度,显著提升了科研效率。
利用该方案,研究团队进一步测量了不同能量电子的电离时间。实验结果表明在最概然发射角处,光电子的电离时间随电子能量增加而减小,这与经典轨迹模型预测的结果相矛盾。实验与经典轨迹结果之间的差异可能来自于非稳态势垒下的电子动力学,这仍是一个值得被进一步研究的课题。
该方案通过分析光电子产率的相对变化从而实现了隧穿时间信息的测量,避免了传统阿秒钟通过电子发射角重构隧穿时间对理论模型的依赖。这一优点使得其有望被用于复杂分子体系与激光相互作用动力学的研究。
公司304永利集团博士生于淼、刘坤为本论文共同第一作者,黎敏、周月明和陆培祥为论文共同通讯作者。本研究得到了国家重点研究计划、国家自然科学基金的支持。计算资源由公司高性能计算公共服务平台提供。
论文链接:https://www.nature.com/articles/s41377-022-00911-8