公司邹远川教授研究团队针对千年一遇的最亮伽玛暴GRB 221009A TeV光子进行了系列研究,限制了它的相对论性喷流洛伦兹因子小于300,并且解释了这些TeV高能光子光变曲线上的凹陷是来自与自身光子湮灭成正负电子对而导致的。相关结果发表在ApJ Letter(2篇)和MNRAS Letter(1篇)。

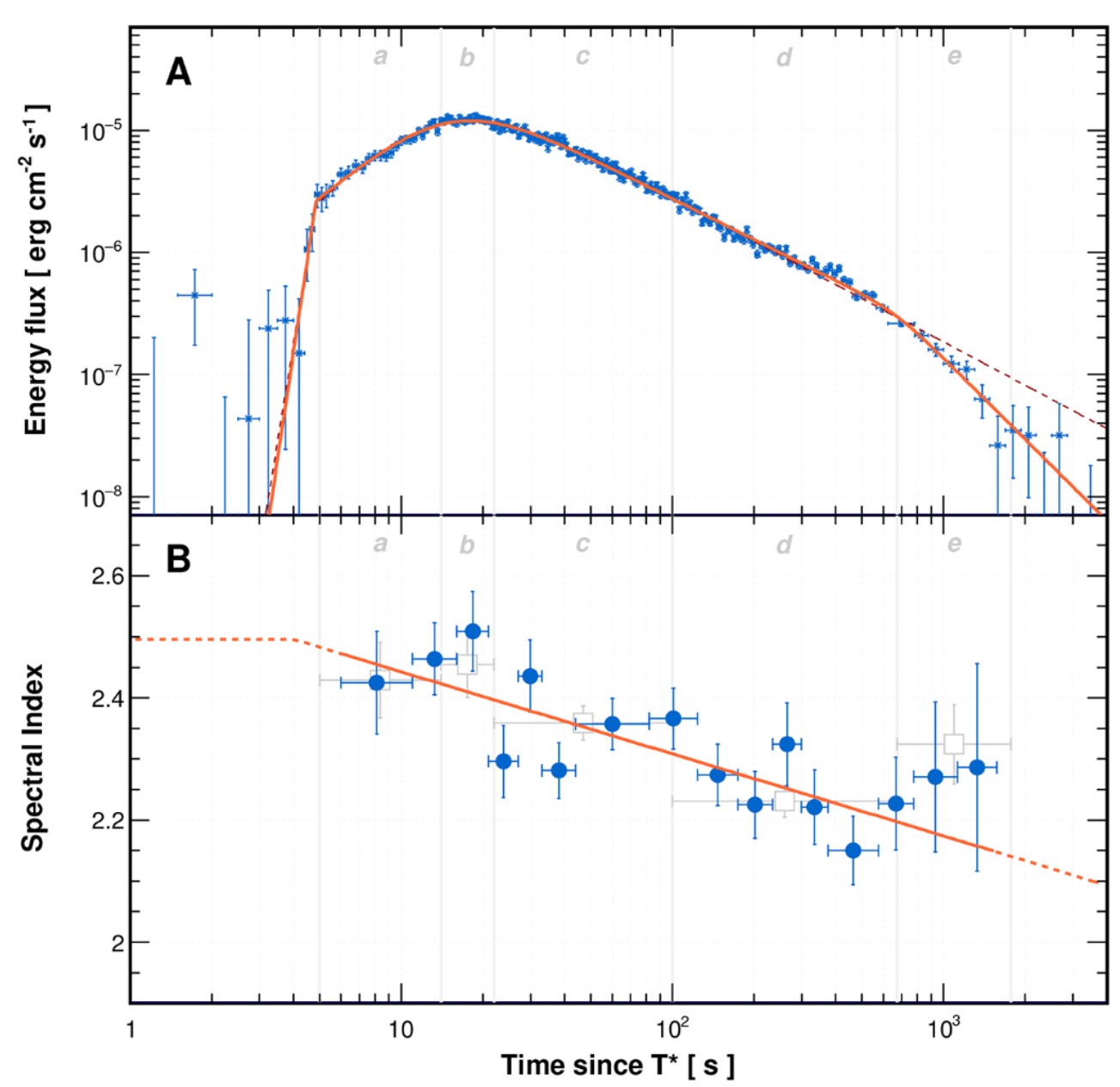
图一LHAASO所观测到的GRB221009A的TeV光子光变曲线(LHAASOcollaboration2023,Science)。
2022年10月9日爆发的GRB 221009A是有史以来最亮的伽玛射线暴,它极高的亮度导致人们得到了前所未有的精确数据。全世界很多不同波段望远镜都对它进行了观测,其中位于四川稻城的高能宇宙线观测台LHAASO接收到了上万个TeV的高能光子。之前由于人类的探测技术的限制和伽玛暴较低的亮度,探测到的含有TeV高能光子的伽玛暴屈指可数,而且探测到的光子最高能量也较低。像这次这样接收到最高超过10TeV的高能光子,并得到TeV光子的光变曲线和详细的光谱信息是不可想象的。

图二解释TeV凹陷的双区模型示意图。来自余辉的TeV光子图中沿下方的水平线传播,主暴的MeV光子主要从角度最大的A点发射,其中到达地球的沿图中水平方向传播,而与TeV光子湮灭的向斜下方传播,这导致了相互湮灭的TeV和MeV光子并不同时到达地球,也就是MeV辐射峰值与TeV辐射凹陷的不重合。
邹远川教授团队首先分析了级联效应,电子散射效应以及余辉的低能光子对高能TeV光子的吸收,发现这些效应不足以解释光变曲线上的凹陷。进一步考虑了双区模型,也就是来自主暴的低能MeV光子对来自余辉的高能TeV光子的吸收,在考虑了几何效应导致的时间延迟,解释了TeV光变曲线早期的凹陷以及它与MeV光变曲线峰值的时间差。利用双区模型限制了后期的喷流洛伦兹因子。304永利集团博士生高端塬为前两篇论文的第一作者,沈君义为后一篇论文的第一作者,邹远川教授为论文通讯作者。该系列研究得到了国家自然科学基金和国家重点研发计划的支持。
论文链接
https://iopscience.iop.org/article/10.3847/2041-8213/acfed1
https://iopscience.iop.org/article/10.3847/2041-8213/ad167d
https://academic.oup.com/mnrasl/article/529/1/L19/7468153