304永利集团量子科学与工程研究院、304永利集团HUST-UULM中德量子传感与量子测量国际联合实验室蔡建明教授团队以“Engineering artificial atomic systems of giant electric dipole moment” 为题在《物理评论快报》(Physical Review Letters)发表最新进展,基于束缚电子提出了一种新型的人工原子系统,其巨大的电偶极矩可以超越自然界稳定存在的天然原子,显著增强系统与微弱信号的耦合强度,为其量子相干调控以及微弱信号的精密测量提供明显的优势。304永利集团博士生余柏奕(2015级本科生)为论文第一作者,其他作者包括304永利集团储耀明博士(2013级本科生)、Ralf Betzholz博士、张少良教授、蔡建明教授。

(a)天然原子中的电子受原子核束缚;(b)外加电势场束缚单电子形成人工原子
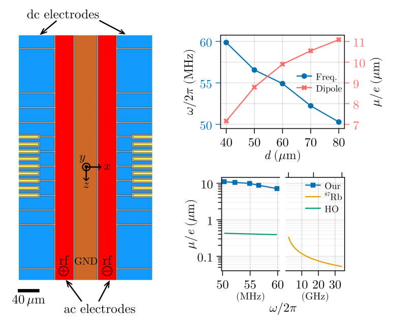
量子技术的核心物理基础是构建高度可控的量子系统。目前,瞄准量子技术物理实现的量子系统主要包括超导量子系统、冷原子系统、光学系统、离子阱系统、量子点系统、固态自旋系统等。不同类型的量子系统具有各自独特的优势,同时也面临着相应的挑战。因此,设计新的面向量子技术需求的可控量子系统,具有重要的科学意义。可控的新型人工原子系统将拓宽人们对物理世界在量子层面的掌控能力。通过人为的设计与调控,我们有可能在自然界原子难以达到的参数区域实现量子叠加、量子纠缠等量子效应,扩展量子技术的实现手段。针对量子技术对人工原子系统的需求,蔡建明教授团队经过长期研究提出了一个大胆的思路:基于电场束缚单电子(Paul阱),其囚禁时间可以一定程度上媲美Paul阱中离子的囚禁时间,并且,通过巧妙设计束缚电子的电势场,束缚电子的高激发量子态将具有超越天然原子的电偶极矩并保持稳定。需要指出的是,电偶极矩的大小决定了其与电场相互作用的强度以及电偶极-偶极互作用的强弱。

基于束缚电子的人工原子具有超越天然原子(87Rb)的巨大电偶极矩,可与外加电场实现超强耦合
然而,要想在束缚单电子附近无正电核心(即天然原子中的原子核)的情况下得到一个类似于天然原子中的电势场,即便是在原理上也存在巨大挑战。为了解决这一难题,蔡建明教授团队提出通过引入形如z的三次方和z的四次方的轴向非简谐电势场,束缚电子的高激发量子态(能级间距为MHz)在被稳定束缚的同时,其电偶极矩可以比天然原子的稳定激发态提升数十倍。进一步地,团队从实验角度系统地提供了对这些稳定的高激发量子态进行初始化、相干操控以及观测的具体方法,充分展示了该系统的巨大潜力。未来,团队将进一步探索这一新型物理体系,实现类似于天然原子的电偶极-偶极互作用,构建基于束缚带电粒子的可扩展量子系统,为这一全新系统应用于量子精密测量等量子技术进一步赋能。
论文链接:https://journals.aps.org/prl/abstract/10.1103/PhysRevLett.132.073202