近日,物理领域权威期刊《物理评论快报》(Physical Review Letters)刊发了公司凝聚态理论团队吕京涛教授课题组在光波导阵列的热和功率耦合输运方面的研究成果,论文标题为“Coupled Thermal and Power Transport of Optical Waveguide Arrays: Photonic Wiedemann-Franz Law and Rectification Effect”。公司为第一单位,吕京涛教授为通讯作者,公司博士生廉猛为第一作者,武汉国家光电研究中心陈云天教授以及硕士生耿悦、博士生陈寅杰为论文做出了重要贡献。此工作选题来自《热力学与统计物理》课程前沿讨论专题,基于廉猛同学本科毕业设计论文。
精确设计的光学系统使人们能够在干净可控的环境中研究凝聚态和其他物理学分支的问题。拓扑光子学是其中的典型代表。近期研究者逐步将这一类比推广至非厄米、非线性系统中。其中的一个重要例子就是在统计热力学框架内对弱非线性耦合光波导阵列复杂行为的理论描述。在这类系统中,光学模式的纵向动量流和光功率是两个近似守恒量,在光热力学理论中分别被认为是有效的“内能”和“粒子数”。这两个守恒量的存在以及系统的有限宽度能谱使得系统可能被初始化至负温度区域,从而使得研究这些特殊情形下的能量粒子耦合输运成为可能。这在缺乏粒子数守恒的声子或磁振子等天然凝聚态系统中实现是很困难的。

图1:(a)非线性光波导阵列输运结示意图。(b)(T , μ)相图,Rp和Rn分别表示正温区和负温区,Rf区不存在平衡态。
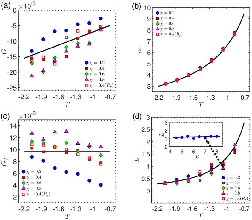
著名的Wiedemann-Franz (W-F)定律将系统的粒子和热输运系数联系起来,可以用Lorenz数L来表征。在金属、强关联材料等不同类型材料中,Lorenz数通常可以表示为普适物理常数L=π2kB2/3e2。此工作通过精确的数值模拟,预测了非线性光波导阵列组成的输运结(图1)中光子版本的W-F定律,其中Lorenz数Lα|T|-2,它不依赖于晶格结构的细节以及模型的参数,并在正负温度下都有效(图2)。理论分析发现这起源于不同能量下热流和粒子流的解耦以及它们不同的温度依赖性。最后,通过跟踪非对称结的热化过程,发现存在非线性时,系统的功率和热流都存在明显的整流效应。

图2:不同非线性强度χ下输运系数对温度的依赖性。(a)电导,(b)Seebeck系数,(c)热导,(d) Lorenz数。
该研究工作将热和粒子耦合输运的研究扩展到了天然凝聚态材料无法达到的参数范围,为操纵人工波导阵列中光波的功率和动量流提供了新的见解。
据悉,近期吕京涛教授课题组在手性分子的量子输运方向也取得研究进展。有关手性单分子结电致发光和光子角动量辐射的理论工作发表于Phys. Rev. B,博士生胡柄中为第一作者;与北京大学郭雪峰教授课题组合作的有关单分子结手性选择的论文发表在Science Advances和J. Am. Chem. Soc.,吕京涛教授为共同通讯作者,已毕业研究生熊婉为共同第一作者。
论文链接:
https://link.aps.org/doi/10.1103/PhysRevLett.133.116303
https://doi.org/10.1103/PhysRevB.109.245428
https://www.science.org/doi/full/10.1126/sciadv.ado1125
https://pubs.acs.org/doi/abs/10.1021/jacs.4c03071