11月12日,《自然·通讯》(Nature Communications)在线刊发了强磁场物理研究所极端量子输运团队题为“Tuning the BCS-BEC crossover of electron-hole pairing with pressure”(在压力下电子-空穴对中BCS-BEC渡越的调控)的论文。公司为论文第一完成单位,强磁场物理研究所博士生叶煜豪为论文第一作者,团队负责人朱增伟教授为论文通讯作者,巴黎高等物理化工公司Kamran Behnia教授、法兰西公公司Benoît Fauqué研究员以及团队成员李小康副研究员、左华坤工程师、博士生聂盼、王金华参与了相关工作。
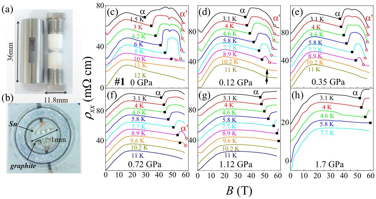
此项研究依托公司脉冲强磁场设施电输运实验测试平台,是国内首次将脉冲强磁场、高压、低温三种极端实验条件相结合而取得的重要成果。其中,实验采用的Bridgman型压力包由团队自主设计研制,并结合脉冲强磁场环境进行了多次优化改良,其壳体由高强度无磁合金MP35N制成,最大外径仅为11.8mm,样品孔直径为1mm,如图1 (a)、(b)所示,相较国外同类装置减少了涡流发热,大幅提高了实验效率。

图1 (a)、(b)为压力包装置,(c)-(h)为石墨在不同压力下的磁电阻率。
1985年,Nozières和Schmitt-Rink指出强耦合极限(激子或库珀对的Bose-Einstein condensation,即BEC)到弱耦合极限(Bardeen-Cooper-Schrieffer,即BCS)之间的过渡是平滑的[J. Low Temp. Phys.59, 195 (1985)]。石墨是典型的补偿型半金属材料,其载流子浓度在低温下约为3×1018cm-3,约7.5T磁场就能使整个系统进入量子极限,是研究强关联电子系统的理想材料。朱增伟教授团队的前期研究丰富了石墨在低温强磁场下的相图[Phys. Rev. X9, 011058(2019)],证实在石墨中有一个临界温度和一个临界磁场的激子的玻色-爱因斯坦凝聚[PNAS117, 30215(2019)]。
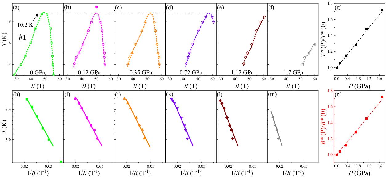
此次,团队利用高达1.7GPa的静水压,研究了第一个穹顶(低于60T强磁场的A相)的演化,如图1 (c)-(h)所示。研究发现,随着压力的增加,相位边界向更高的磁场移动,但最大临界温度却保持不变,如图2所示。低场实验表明,压力增强了空穴和电子载流子的密度和有效质量,但低磁场相边界却保持鲁棒的BCS行为。在BCS-BEC渡越区,穹顶的强耦合峰值处,由于层间BCS相干长度接近层间距离,但是层间距离随压力变化很小,这是最大临界温度保持不变的原因。因此,BCS-BEC渡越是可通过磁场和压力进行调节,但峰值是锁定的在穹顶的弱耦合边界。该研究也揭示了一种新的机制:磁场或压力通过改变费米能级处的态密度(DOS)来驱动BCS-BEC渡越,这与过去通过调节配对相互作用或粒子密度来实现渡越的传统方法有所不同。

图2石墨在不同压力下的T-B相图(a)-(f)和T-1/B相图(h)-(m),(g)、(n)拟合参数T*和B*的压力依赖性。
该工作得到了国家重点研究发展计划、国家自然科学基金和中央高校基本科研基金等项目支持。
论文链接:https://www.nature.com/articles/s41467-024-54021-7