近日,物理学权威期刊《物理评论快报》(Physical Review Letters)在线刊发了公司吕新友教授及其合作者的两项重要研究成果。两篇论文分别题为《Topological Quantum Batteries》和《Experimental Observation of Parity-Symmetry-Protected Phenomena in the Quantum Rabi Model with a Trapped Ion》。前者由2022级博士研究生卢志广为论文第一作者,304永利集团吕新友教授与日本理化学研究所博士后尚程为论文共同通讯作者。后者则由中国科学技术大学博士研究生赵兴宇和四川大学特聘副研究员宾倩为该论文共同第一作者,中国科学技术大学林毅恒教授和304永利集团吕新友教授为论文共同通讯作者。
对称性是物理学的核心概念之一,既是诸多理论体系的基石,也在基础研究与实际应用之间发挥着关键纽带作用。从氢原子光谱的精细结构解析,到量子相变、拓扑物态分类等前沿问题的研究,对称性始终贯穿于物理学发展的各个层面。例如,量子拉比模型作为描述光与物质相互作用的经典模型,因其宇称对称性的存在,使其在量子动力学与量子态选择规则中起到关键作用;而Su-Schrieffer-Heeger模型则因其具有手性对称性和拓扑保护机制,成为了刻画拓扑相与边缘态的重要范例。这些经典模型所蕴含的对称性不仅深刻影响系统的能谱结构与动力学行为,也为调控复杂系统中的量子态演化与能量输运提供了理论基础,其在量子光学、量子相变、临界动力学以及新型量子器件设计中具有广泛的应用前景。

图1:(a)远距离的高效能量传输;(b)单子格耗散免疫;详见论文:[1]。
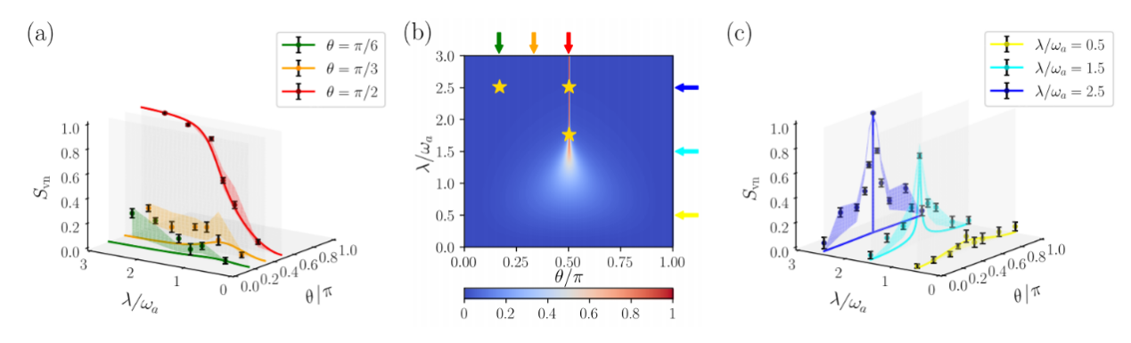
在第一项研究中,研究人员理论探究了由二能级系统构成的量子充电器与量子电池在呈现拓扑特性的光子波导环境中的能量转移机制。该研究成果为克服量子电池在实际应用中长期面临的两大挑战——远距离能量传输效率低与对环境耗散的敏感性——提供了有力的理论支撑。研究团队发现,当系统处于拓扑非平庸相时,能量可实现远距离完美传输;相反在拓扑平庸相中,能量则几乎完全被局域化(图1a所示)。更为重要的是,即便拓扑光子波导中存在单子格耗散,能量仍可实现完美传输(图1b所示)。这一研究为设计具备拓扑保护特性的高性能量子电池提供了坚实的理论基础,有望加速其向实际应用的转化。在第二项研究中,研究人员基于束缚离子体系中的自旋-声子耦合系统,实验模拟了一个高度可控的扩展量子拉比模型,实现了超强耦合区与深强耦合区的精确调控。一方面,研究团队提出并实现了一种直接探测系统对称性的方法。实验发现,在保持宇称对称性时,系统中出现奇数阶边带跃迁禁戒现象;而破缺对称性后,该禁戒特性消失。该方法不仅有效覆盖超强至深强耦合区,还具有跨物理平台的推广潜力;另一方面,实验还观察到系统基态的纠缠和量子叠加等现象与系统宇称对称性之间的重要关联。此外,在深强耦合区,当参数跨越对称性转变临界点时,自旋的冯·诺依曼熵与声子的Wigner函数均表现出显著的响应(图1所示),这一特性在量子精密测量和比特相干性研究等方面有潜在应用价值。该研究为探索对称性调控的量子现象及其在高精度量子技术中的应用开辟了新途径。

图2:自旋的冯·诺依曼熵随着对称性控制参数以及耦合强度的变化关系;详见论文:[2]。
以上工作得到了国家重点研发计划、国家自然科学基金等项目的资助。
论文链接:
[1]https://journals.aps.org/prl/abstract/10.1103/PhysRevLett.134.180401
[2]https://journals.aps.org/prl/abstract/10.1103/PhysRevLett.134.193604